Официальные зарплаты футболистов Динамо меньше тысячи долларов в месяц
Это следует из зарплатной ведомости столичного клуба, — утверждает «Украинская правда»
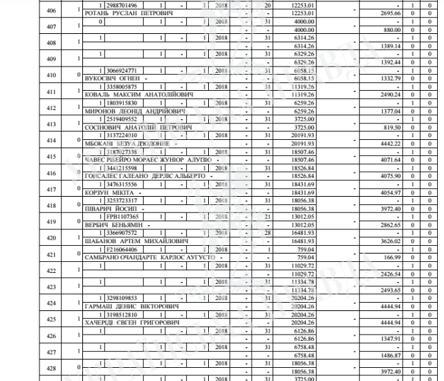
Футболисты киевского «Динамо» получают довольно низкую официальную зарплату в клубе. Об этом стало известно из зарплатной ведомости столичного клуба, которая попала в распоряжение источника.
Согласно документу, наиболее оплачиваемыми игроками столичного клуба состоянию на январь 2018 года были Олег Гусев, Денис Гармаш и Евгений Хачериди. Их зарплата составляла 20 тысяч 204 гривни. В то же время по неофициальной информации источника, в последний год зарплата Гусева в киевской команде была на уровне 50 тысяч долларов в месяц.
Нынешний капитан «Динамо» Виктор Цыганков получает в команде чуть больше 19 тысяч гривен в месяц. Сергей Сидорчук зарабатывает несколько больше 20 тысяч гривен в месяц. По информации источников, тот же Сидорчук получает зарплату «в конверте» на уровне 1 млн евро в год то есть, более 80 тысяч евро в месяц.
![]()

Главный тренер киевского «Динамо» Александр Хацкевич, согласно ведомости, за свою работу получает денежную награду в 18 тысяч гривен в месяц. А больше всего среди тренерского штаба зарплата у тренера вратарей Михаила Михайлова – более 22 тысяч в месяц. Среди легионеров самую большую зарплату имеет Мбокани в размере 20 191 гривня в месяц. У других иностранных игроков «Динамо» от 13 до 19 тысяч гривен в месяц.
Читайте также: Футбол и налоги
Читайте также: Футбол и налоги
Среди руководителей «Динамо» самым богатым по зарплате является президент Игорь Суркис, у которого 40 тысяч гривен в месяц заработка.
Интересно, что спортивный директор «Динамо» Алексей Михайличенко зарабатывает только 10 тысяч гривен. А генеральный директор клуба Реваз Чохонелидзе, который в свое время работал в итальянском «Милане», получает и того меньше - 9 тысяч гривен в месяц.
Читайте также: Самые высокие зарплаты в Украине – у Динамо, Шахтера и Зари
Сообщить об ошибке
Если вы нашли ошибку, пожалуйста, выделите фрагмент текста и нажмите
Настройте свою личную ленту новостей
ВАС ЗАИНТЕРЕСУЕТ
Бокс
|
28 декабря 2025, 08:01
5
Александр поблагодарил за вечер бокса в Эр-Рияде
Бокс
|
27 декабря 2025, 20:06
0
Александр поздравил с победой японского боксера
Футбол
|
27.12.2025, 18:41
Футбол
|
28.12.2025, 15:22
это вопрос риторический 😀
в некоторых аматорских Киевских клубал люди такую ЗП получают. (в конвертах), а Динамо дурит неньку Украину такими ЗП.
Когда на словах патриоты, а на деле из воюющей страны деньги выводят. Фу позорище дырявое
Для вас Бимба. Приват банк и Нбу семье Суркисов должны 1млрд. Гривен. Высший админ суд Украины не нашел доказательств в деле Динамо и Приватбанка.
Андрей Васильевич с горя только не сильно бухайте. Вы нам нужны стойким солдатом.