Булатов против финансирования турнира Стеллы Захаровой
В Министерстве не считают целесообразным расходовать скудный бюджет на коммерческий турнир + CМЕТА
В последнее время в СМИ идут разговоры о конфликте Стеллы Захаровой и министра молодежи и спорта Дмитрия Булатова. Ситуация возникла из-за отказа министерства выделить финансы на проведение Кубка Стеллы Захаровой, так как на него из-за сложной экономической ситуации в стране, по словам Дмитрия Булатова, просто нет средств. Турнир не являлся «календарным» и шел в плане бюджета в графе «дополнительное финансирование», которые сейчас урезано по всем министерствам.
Сама же Стелла Георгиевна сетует на личную неприязнь министра к ее персоне.
Дмитрий Булатов заявляет, что его оппонент избегает личных встреч, пытается давить на министра через влиятельных лиц государства, а затем и вовсе перенесла спорный вопрос в плоскость личного конфликта и свела общение к обмену мнениями посредством СМИ.
Первоначально планировалось провести турнир в марте, затем в апреле, а сейчас он перенесен на сентябрь.
Sport.ua побывал на брифинге Министерства, где этот вопрос был одним из наиболее обсуждаемых.
Министр Дмитрий Булатов и заместитель министра Игорь Гуцол о конфликте
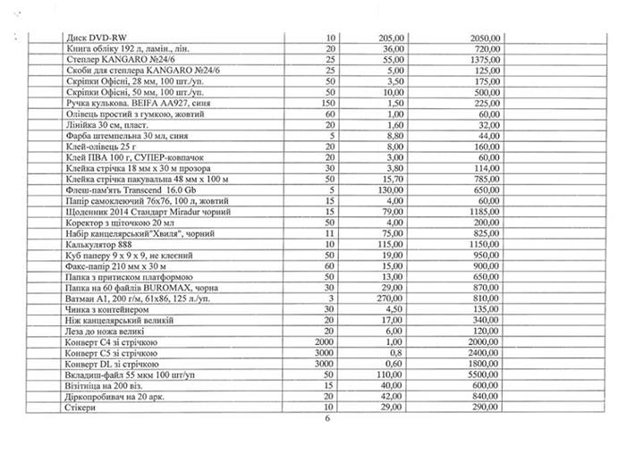
Также на страничке в Facebook «Мы и спорт в Украине» появилась смета планируемого турнира.
.jpg)
.jpg)
Тем временем стало известно, что Стелла Захарова назначила на 6 мая пресс-конференцию. Цель встречи с журналистами – заявление представителей Федерации гимнастики и национальной сборной об отсутствии финансирования министерством участия в чемпионате Европы, что ставит под угрозу выступление украинцев на соревновании. Стелла Захарова даст комментарии относительно срыва турнира министерством молодежи и спорта и отношение Дмитрия Булатова как министра к спортивной гимнастике.
Анонсировано, что, помимо Стеллы Захаровой, о проблемах этого вида спорта расскажут расскажут специальные гости: вице-президент Федерации гимнастики Украины Игорь Коробчинский, главные тренеры женской и мужской сборных команд (Оксана Слюсарчук и Александр Горин), ведущие гимнасты сборной (Олег Верняев и другие).
Sport.ua продолжает следить за развитием конфликта.
Если вы нашли ошибку, пожалуйста, выделите фрагмент текста и нажмите
ВАС ЗАИНТЕРЕСУЕТ
Ирина откровенно рассказала о разрыве отношений с бывшим футболистом и тренером киевского Динамо
16 января горняки будут в статусе наблюдателя, так как вышли сразу в 1/8 финала
.jpg)
.jpg)
.jpg)
.jpg)
.jpg)
.jpg)
.jpg)


может лучше заплатить ей 3 ляма за одаренных деток, чтобы их тренировала. больше было бы пользы для развития гимнастики в У.
сразу вспомнил историю после помаранчевой революции, когда был заменен состав министерства на своих людей:
приходить тренер с документами на присвоение заслуженного тренера, а ему говорят, что мы Ваше дело потеряли и не знаем что делать.
Ответ тренера прост: ну хорошо, я ещё парочку мастеров спорта подготовлю.
У него нюх на казнокрадов.
Захарова детским тренером за 3000 гривень ради любви к гимнастике работать не хочет - миллионами ворочать надо.
Пинка под зад ей!
А по поводу "на самолеты есть, а на спорт нет" - защита границ при теперешних отношениях с россией(это не орфографическая ошибка) гораздо приоритетней какого то ежегодного турнира по гимнастике, с которого государство денег не имеет
"Банкет для VIP персон в ресторане с шоу програмою 148 000 грн." - прикольная спорт. дисциплина
монтаж та демонтаж за 8 снарядов - 239 000. монтаж матов 98 000. О.0 почти как заправить кровать - монтаж постельного белья..
Я бы тоже был против. Да и у кого отбирать, если там, к примеру, уже выделено на поддержку молодежи нуждающейся в оздоровлении где-нибудь в Доминикане.