Завершился Кубок Украины среди МС и КМС
Протоколы соревнований и комментарии тренеров для sport.ua + ДОПОЛНЕНО
С 25 по 27 марта в Харькове проходил Кубок Украины по художественной гимнастике среди КМС и МС. Корреспонденты sport.ua попросили прокомментировать эти соревнования тренеров из Днепропетровска и Львова.
Днепропетровского тренера Альвину ЯКИМЕЦ я поймала утром. Этой ночью днепропетровчанки вернулись из Харькова, а уже вечером уезжают на очередные соревнования в Черновцы. Но, к счастью, время для короткого разговора со sport.ua Альвина Константиновна все же выделила:
- Как вы оцениваете выступление команды Днепропетровска?
- Выступление нашей команды можно считать удачным, мы выиграли две бронзовых медали.
Среди МС в личном первенстве Оля Еремина стала восьмой, пропустив вперед таких сильных гимнасток, как Вика Мазур, Вика Шинкаренко, Алена Дмитраш. Это достойный результат, ведь у мастеров очень высокая конкуренция.
Группа среди МС в составе Оли Ереминой, Оли Горох, Насти Малой, Кати Луценко, Леры Михайленко и Ани Яцыны тоже неплохо выступила, они выиграли «бронзу» в финале с лентами и обручами. Девочки также стали четвертыми с мячами и пятыми в многоборье.
Среди КМС разыгрывалось только многоборье, командного и группового первенства не было. Считаю, девочки показали неплохие результаты. Пять гимнасток вошли в число пятнадцати лучших. Порадовала Вика Ситникова, она стала третьей, привезла медаль. Вика уступила только Насте Мульминой и Элеоноре Романовой – сильнейшим на сегодня юниоркам.
Далее, Юля Мирная стала десятой, Алена Гонаженко - одиннадцатой, София Манько - тринадцатой, Дарина Шлычкова - четырнадцатой.
В целом, мы довольны результатами, у нас хорошая команда, девочки демонстрируют достойный уровень. Но, конечно, всегда есть над чем работать.
- Вика Ситникова стала третьей, у нее есть шансы попасть на чемпионат Европы?
- Это решают Альбина Николаевна и Ирина Ивановна. Еще предстоит чемпионат Украины, там будут смотреть. Уже сегодня вечером едем в Черновцы на открытый чемпионат МОН. Точный состав команды на чемпионат Европы определится ближе к маю. Конечно, нам хочется попасть на такие престижные соревнования, и мы будем очень стараться! Мы уже стараемся (смеется).
Розмова із Оленою Єресько, президентом Львівської обласної федерації з художньої гімнастики, очільником команди на Кубку України у Харкові відбулася чи не одразу, після того як делегація прибула додому.
- Відчувається втомлений голос, - запитуємо Олену Вікторівну.
- А як інакше, далека дорога через всю країну і звичайно кілька днів важкої праці, як тренерів, так і дівчат. Інакше не скажеш, адже це вже не якийсь турнір, де намагаються показати усе найкраще на що здатні, проте мають право на помилку. Це офіційні старти сезону, від яких багато чого залежить у майбутньому. Тому огріхів тут бути не може і треба з повною серйозністю підходити до свого виступу. Тому втомлені, тим не менше, задоволені.
Команда нашої області складається із хороших гімнасток, як серед майстрів спорту, так і юніорів, тому нам приємно, що продовжуємо бути на виду. На Кубку Львівщина була представлена двома командами, 24 спортсменки з різних львівських клубів, які у підсумку серед двадцяти з цілої України посіли відповідно 5-те та 7-ме місце. Мені не хочеться називати якісь імена, скажу лише що старалися всі, може не увійшли у трійку призерок, тим не менше, показали хороші особисті результати. Згадаю лише майстриню художньої гімнастики Вікторію Ленишин, вихованку львівської «СКА», яка показала найкращий результат – 6-те місце серед 130 учасниць. Як би не було, але цій дівчинці захищати честь нашого краю на майбутній Олімпіаді.
Це були лише перші офіційні старти в Україні, а попереду ще чимало роботи. Уже незабаром команда Львівщини поїде у Чернівці на Спартакіаду школярів, а згодом ще одні важливі старти – Чемпіонат України серед юніорів у Білій Церкві. Звичайно важко працювати у такому напруженому графіку і тренерам, і, особливо юним дівчатам. Тим не менше, будемо доводити, що ми одна із кращих команд України. Нам є чим пишатися, бо показуємо хороші результати.
Для одесситок первый официальный всеукраинский старт в нынешнем году стал настоящим испытанием. Не обошлось без так сказать «черной кошки», перебежавшей им, видимо, дорогу в Харьков. Да и обратный путь в Одессу был не из легких – команда всю ночь провела в дороге. Оставшийся день на отдых и снова в зал на тренировку, по окончанию которой тренеры прокомментировали выступление своих подопечных на Кубке Украины.
Марина Арутюнян, старший тренер СДЮШОР «Черноморец»: - Одна девочка у нас выполнила мастера спорта. Это Наталья Шевченко. Мы за нее очень рады. Другие гимнастки, выступали не очень хорошо. Молодые «мастера»1996 года рождения просто растерялись.
Сказалась усталость?
- Мне трудно сказать сейчас. Может, не хватает еще опыта, какой-то физической силы, поэтому они не проявили себя так, как нам бы хотелось и так как они могли, потому что они могли выступить намного лучше.
Что Вы можете сказать о результате девочек, которые выступали по программе кандидатов в мастера спорта?
- Эти гимнастки выступили лучше. Команда просмотрелась ярче, чем команда мастеров. Многие девочки справились со своей программой и выступили достойно, в частности Яна Гальчинская и Яна Ярош, а также Валерия Трофимова. К сожалению, Вика Савельева травмировалась прямо там на соревнованиях. То есть открылась ее старая травма и помешала ей крепко, на мой взгляд, выступить. Вика практически хромала, выходя на ковер и уходя с площадки. Ей было больно и она не смогла показать того, что могла. По сравнению с результатом предыдущих соревнований она опустилась значительно ниже.
Но это не все неприятности, которые ожидали одесситок на национальном форуме, на два месяца из обоймы выпала Мария Хурс, рассказывает Марина Геннадиевна: – Маша Хурс тоже получила очень серьезную травму. У нее надрыв связки в голеностопном суставе. По возвращению домой ей сделали повторный снимок и в гипсе ей придется проходить три недели. Только потом начнется реабилитационный процесс. Будем надеяться, что к лету Маша восстановится. В групповых упражнения с мячами у нас была одна большая потеря. Было очень мало времени на подготовку. Вы знаете, что наши дети участвовали в турнире в США, потом по приезду сразу состоялись областные соревнования. Все так сказать накатом и толком готовить групповое упражнение у нас не получалось. Поэтому мячи собрались, как могли, сделали, а в упражнении с тремя лентами и двумя обручами сработали гимнастки плоховато.
Порадовала тренеров Виктория Бузуян. Ее выступление оценила сама Альбина Николаевна Дерюгина. Рассказывает тренер СДЮШОР «Черноморец» Анжела Василенко: – Вика после травмы собралась, выступила очень достойно. Она – молодец! На следующем старте – чемпионате Украины в июне, она будет выполнять мастера спорта. У Вики был надрыв связки, целый месяц она провела в гипсе. Буквально за неделю до Кубка Украины мы ее восстановили. На тренировках не прыгали. Готовились очень осторожно. Прыгала впервые Вика Бузуян на соревнованиях. И я считаю, провела она этот старт достойно.
Будем надеяться, что все эти неудачи и испытания только подстегнут одесситок к дальнейшей борьбе. Ведь в скором времени состоится чемпионат Украины среди юниоров. В команду кандидатов в мастера спорта войдут Яна Гальчинская, Яна Ярош, Валерия Трофимова и Арина Красик. Травмированных Марию Хурс и Викторию Савельеву на форуме заменят Елизавета Муренец и воспитанница КДЮСШ №1 Наталья Скалка.
.jpg)
.jpg)
.jpg)
.jpg)
.jpg)
.jpg)
.jpg)
.jpg)
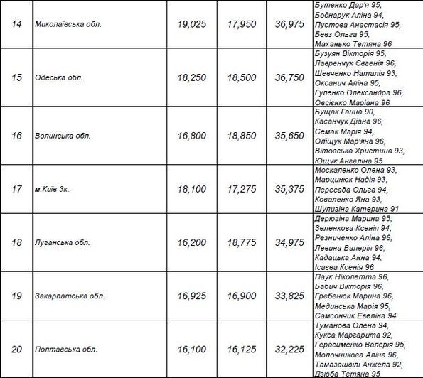
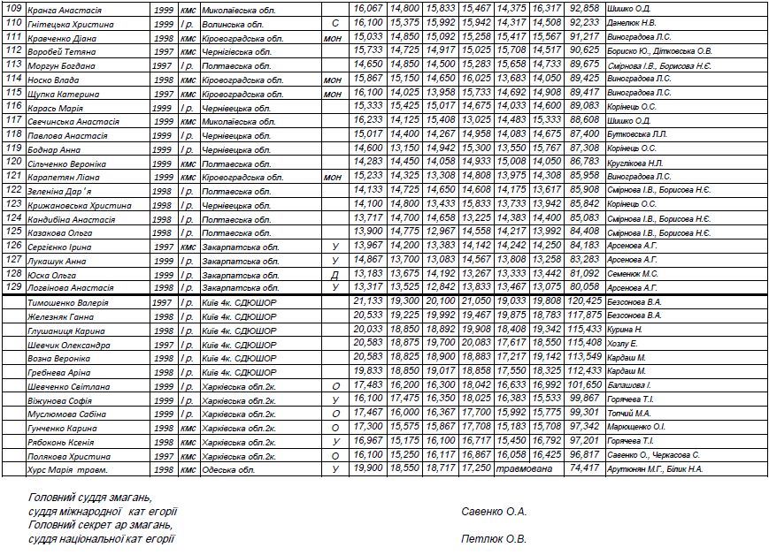
Кликните на таблицу., чтобы увеличить
Протоколы добывала и общалась с тренерами Кристина ПОЛЬСКАЯ
Фото Alexander Kostowetzky (motusmedia)
Sport.ua
Если вы нашли ошибку, пожалуйста, выделите фрагмент текста и нажмите
ВАС ЗАИНТЕРЕСУЕТ
Михаил Федунов присоединился к тренерскому штабу Костюка
Казахстан обыграл Румынию в соккерной лотерее в матче 1/8 финала
Человек, ответственный за наполнение, получил и всю информацию о КМ , и о КУ. По каким причинам этого еще нет - мне неведомо, но сегодня я лично этот вопрос проконтроллирую.
ukraine-rg, так почему же автору данного материала не написать вместо слов "Протоколы добывала" следующее "Протоколы предоставила ФГУ".
Для тех кто считает, что протоколы с ЧУ и КУ добываются: С 2011 года все протоколы с ЧУ и КУ выложенные в сети, появлялись только благодаря ФГУ.
По поводу сайта - надеюсь в будущем будет все замечательно. Сайт получается красивый. Теперь туда надо залить побольше информации, хотя бы начиная с 2012 года. А то Кубок Дерюгиной прошёл, а информации (результатов, фото и видео) нет. А про Кубок Украины вообще информации нет... Жаль...
Хотелось бы на сайте ФГУ черпать официальную информацию.
Относительно сайта - сейчас как раз налаживаем процесс работы, чтобы все было красиво и информативно))
от меня тоже спасибо тому, кто поделился, и тому, кто выложил.
Соглашусь с "Гостем": "профессионалы успевают делать все, и быть в курсе событий, и знать статистику и т.д."
Редакции: Большое спасибо! А также Огромнейшее Спасибо тому человеку, который поделился результатами с редакцией.
Мне вот не понятно одно: Почему федерация не выкладывает результаты на своем обновленном сайте? Для чего он тогда создавался? Я считаю, что сайт Федерации должен быть первоисточником такой информации.
Спасибо за работу!